Have you ever heard the term ‘stress triaxiality’ banded about here and there, but never really known what it is or why it matters? Then this blog is for you!
In short, stress triaxiality provides a convenient, scalar method for qualitatively describing the overall stress tensor in a specimen. However, it is not a measure of stress magnitude! Rather, stress triaxiality describes the relative contribution to the overall stress state from hydrostatic and deviatoric stresses. In other words, stress triaxiality provides insight into how a component is being loaded and whether it is subjected to compression, tension, shear, or some combination thereof. Mathematically, this can be expressed as:
η = -p / q
where, η = Stress Triaxiality, -p = Hydrostatic Stress, q = Von Mises Stress
Further, Hydrostatic Stress can be expressed as a function of principal stress:
-p = ⅓ * (σ1 + σ2 + σ3)
where, σ1 = Max. Principal Stress, σ2 = Mid. Principal Stress, σ3 = Min. Principal Stress
(Hydrostatic Stress is equal to negative Pressure Stress, hence the -p notation)
Why is Stress Triaxiality Important?
Stress triaxiality provides insight into the mechanism of fracture, which is important to consider when defining failure in ductile materials. For example, the equivalent stress (or strain) at failure in purely tensile loading can vary significantly from that in pure shear. And the variation can be extremely material dependent. In an idealized world where components are only loaded in states of pure stress (i.e., uniaxial tension and pure shear), this does not pose an issue since the failure point is clearly defined. But how can we handle real-world scenarios that often expose components to multiaxial loading? By considering stress triaxiality, of course!
But, before delving into further detail, it’s important to understand why scalar measures of stress magnitude alone aren’t suitable for assessing fracture in ductile materials.
Can’t We Just Use Von Mises Stress?
In the field of mechanical engineering, it is common to express stress in terms of scalar values. For instance, stresses in ductile metals are often assessed using the Von Mises criterion, which simplifies the overall three-dimensional stress tensor into a single “equivalent” stress value. This scalar approximation of the overall stress state provides a convenient method for evaluating yield in ductile materials; however, it is not as useful when predicting ultimate failure, particularly under complex loading situations. But why is this the case? And how can we address failure in ductile materials?
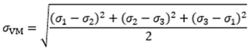
First, let’s start by discussing why a scalar stress, such as the Von Mises criterion, is not a great indicator of fracture in ductile specimens. As a scalar value, the Von Mises criterion is inherently directionless; however, we know that ductile materials break differently based on the type of loading they are experiencing. Additionally, because the scalar Von Mises stress, in its simplest form, is calculated as a function of the three principal stress vectors, it follows that any number of varying stress combinations can result in the same Von Mises stress. As an example, let’s review the equation for Von Mises stress:

Using the formula above, let’s now compare two sets of principal stress data:
Data Set 1 represents the principal stress state under uniaxial tension:
σ1 = 100, σ2 = 0, σ3 = 0
Von Mises Stress = √[ ((100 – 0)2 + (0 – 0)2 +(0 – 100)2 / 2) ] = 100 MPa
Hydrostatic Stress = ⅓ (σ1 + σ2 + σ3) = ⅓ (100 + 0 + 0) = 33.3 MPa
Stress Triaxiality = -p / q = 33.3 / 100 = 0.333
Data Set 2 represents the principal stress state under pure shear:
σ1 = 58, σ2 = -58, σ3 = 0
Von Mises Stress = √[ ((58 – -58)2 + (-58 – 0)2 +(0 – 58)2 / 2) ] = 100 MPa
Hydrostatic Stress = ⅓ (σ1 + σ2 + σ3) = ⅓ (58 + -58 + 0) = 0 MPa
Stress Triaxiality = -p / q = 0 / 100 = 0.0
As we can see from the example above, two very different three-dimensional stress conditions can result in the same Von Mises stress – but Von Mises stress is, by its nature, deviatoric. As we know, it is very possible to have very high principal stresses in a hydrostatic dominant stress state (hence very low Von Mises stress) but that doesn’t mean our sample won’t fail! This is because failure is dominated by different mechanisms under different stress states. In pure shear, the failure is predicated on shear slip, while in higher triaxiality states, such as pure tension, fracture is caused by void growth and coalescence.
As a result of these differences, material strength can vary significantly based upon stress state. And what’s more, this relationship is, itself, material dependent. Two typical examples of this dependency of failure strain on triaxiality are illustrated in the schematic plots below.

As we now know, it is essential for us to account for stress triaxiality in our ductile failure predictions… To do this, we must consider strain at failure to be directly dependent upon stress triaxiality in our FEA models; we define unique plastic strain levels at which damage initiation occurs for various failure modes (including complex, multiaxial loading conditions).

Stress Triaxiality Example
Now, let’s take a look at an application of stress triaxiality using FEA software. In this example, we’ll define our specimen geometry, material properties, and loading conditions; we’ll then perform a hand calculation to determine the theoretical load at which our specimen should fail when subjected to tension and shear; lastly, we’ll use Abaqus to simulate our example problem and predict the failure load of our specimen under different loading conditions.
For this example, we’ll assume our specimen has a solid, circular shaft with a critical diameter of 1.12838 mm (which provides us with a convenient cross-sectional area of 1.0 mm2) and a length of 20 mm. The specimen will be meshed using first-order, hexahedral elements with an average size of 0.10 mm.

Our specimen will be comprised of steel, with a Young’s Modulus of 200 GPa, a Yield Stress of 250 MPa, a Tensile Strength of 400 MPa, a Shear Strength of 240 MPa, and an Elongation at Break of 20%; for the sake of simplicity, we will assume bilinear material behavior (rather than more accurately capturing the non-linear stress-strain behavior).


We will load the specimen in tension by constraining one end in all degrees of freedom, and enforcing a tensile displacement on the other end until failure occurs. Shear loading will be applied in a similar fashion, with one half of the specimen fully constrained, and the other side loaded perpendicularly to the axis of the shaft.


Before performing an analysis, we will need to calculate the amount of plastic strain at failure for each of the applicable failure modes and define that in our model. This will help us to define the damage initiation criteria required by Abaqus. Since we know the stress magnitudes at which failure occurs for different loading conditions, along with Young’s Modulus and Elongation at Break, we can calculate the plastic strain at which damage initiates when subjected to pure shear and uniaxial tension. Note that the shear strength in the table below has been presented in terms of Von Mises stress, which was calculated using the following equation:

where, σv = Von Mises Stress, τxy = Shear Stress

Hence, our failure strain vs triaxiality plot looks like this for this particular material:

These values are included in the Abaqus input deck as follows for the two models:

Next, before running our simulation, we will calculate the expected failure loads for tension and shear to ensure our material model is accurately capturing our intended behavior. For the case of tension, determining the failure load is straightforward:
Tensile Stress = Applied Force / Area
It should be noted that our calculated Tensile Stress is a uniaxial stress; however, our damage model is defined in terms of Von Mises Stress (Equivalent Plastic Strain, technically). So, to accurately predict the failure loads, it is necessary to convert our tensile stress to a Von Mises stress. Of course, we know that the stress state in uniaxial tension is such that σ1 = σMaxPrincipal = σVonMises , so our uniaxial stress and our Von Mises stress are the same. For the case of our example, the predicted failure load is:
Applied Tensile Force = Tensile Stress * Area
Applied Tensile Force = 400 MPa * 1 mm2 = 400 N

In order to predict the shear load at failure, we will use the following equation:
Shear Stress = Shear Force / Area
Applied Shear Force = Shear Stress * Area
Applied Shear Force = 240 MPa * 1 mm2 = 240 N

Finally, let’s take a look at our simulation to see if our predicted failure loads match our analysis results! Starting with tension, we can see that the simulation results match our predictions quite nicely. Bi-linear, elastic-plastic material behavior was observed until failure occurred at 400 N (which matches our hand-calculation).

Similarly, looking at the shear results, we can see that our simulation once again matches our hand calculation. In this case, we see fracture at 240 N.

Note that in order to carry out this study, we had to know the strain at failure of our material (beforehand) for the stress states that we were directly modeling. Obviously, when running real simulations, we’re likely not applying idealized stress states and won’t know exactly what the stress is going to look like in our regions of interest. Therefore, it is important to carry out physical testing at many different levels of triaxiality in order to calibrate the relationship for the material prior to using this methodology on real products.
Final Thoughts
Predicting failure in any material is never as trivial as it might seem. Of course, we can estimate or design to safe loads using stresses or strains alone, but when it comes to actually modeling damage and subsequent behavior, there are more things we need to think about. And one of these is the triaxiality in the region of failure and how that is going to affect the results.
Fortunately, Abaqus is excellent at dealing with complex material behavior, so you’re covered! If you’d like to learn more or are interested in trying Abaqus for yourself, don’t hesitate to reach out to the team at Fidelis!