Abaqus allows us to model things using many different types of robust material models, depending upon the physics at hand. In this post, we’re going to be focusing on hyperelasticity, which is typically reserved for rubbery polymers as well as biomaterials and solid propellants. The objective is to provide an overview of hyperelastic materials and how we go about modeling them and calibrating our models.
Introduction to Hyperelasticity
There are various types of materials in nature that exhibit different mechanical behaviors when subjected to loading. For example, ductile metals like steel, aluminum and copper exhibit linear elastic behavior till yielding, and then undergo considerable plastic (unrecoverable) deformation before fracture. Brittle materials like ceramic, glass and graphite undergo linear elastic deformation with little to no plastic deformation before fracture. Not all materials exhibit linear elasticity. In fact, there is whole class of materials that will undergo huge elastic deformations at strains above 100% upon load application and fail with no plastic deformation. These materials are categorized as hyperelastic materials. The stress-strain response for hyperelastic materials is highly non-linear and increases monotonically until failure as shown in the figure below.

Hyperelastic material models are used to capture the elastic large strain behavior of materials like rubber, filled elastomers, biological tissues, solid propellants etc. The stiffness changes with deformation induced in the specimen and the internal energy stored in these materials in the elastic regime is fully recovered upon unloading.

Compressibility in Hyperelastic Materials
Most of the hyperelastic materials such as rubber and biological tissues are nearly or fully incompressible. But other sets of materials such as sponges and foams are compressible and require a special class of hyperelastic material model like Ogden foam to capture their deformation behavior. The incompressibility term is defined in terms of initial bulk modulus () of the material as follows:

The material tends to be incompressible when the value of d decreases. It does not have a range and it is usually positive. For unconfined materials, assuming incompressible behavior is usually sufficient, but the volumetric behavior plays a crucial role when the material is confined.
Strain Energy Potential
When a specimen is subjected to constant strain, the strain energy stored in the material, which is equal to the area under stress- strain curve, remains constant. Hence, hyperelastic materials are modeled in terms of strain energy potential.

The energy potential (Ψ) is defined as a function of the strain tensor (ε) in the material as follows:
Ψ = f (ε)
The strain energy potential can be divided into deviatoric and volumetric components:
Ψ = Ψdev + Ψvol
The deviatoric behavior of the material depends on the mode of deformation – namely uniaxial tension, uniaxial compression, and shear. There are several strain energy potentials available in Abaqus to model hyperelastic materials, which can be classified as physically or phenomenologically motivated. The physical models, such as Arruda-Boyce and Van der Waals, consider the microstructure of the material to evaluate its response. The simple phenomenological models, like Neo-Hookean and Yeoh, work reasonably well and evaluate the material response based on continuum mechanics. The table below shows the strain energy potentials for different hyperelastic models and their material parameters.

In the above strain energy potentials, the component with material constant ‘D’ is the volumetric term and Jel is the elastic volume ratio. The deviatoric components are calculated using either the principal stretches (λ1 , λ2 , λ3 ) or the strain invariants (ɪ1, ɪ2, ɪ3 ). Principal stretches are the ratios of present length to original length of material in the principal directions. In models like Ogden and the polynomial models, N represents the order of the function. The non-linearity of the model and number of material constants increase with the order of the function.
Experimental Hyperelastic Data
Experimental data is required to calculate the material constants from the strain energy potential. To get good correlation with the experimental data, we need to account for all three modes of deformation – tension, compression, and shear. In the case of metals, which follow Hooke’s law, we can accurately predict the deviatoric material behavior by using the tensile test data alone. Unique compression and shear responses can be calculated from the tensile data of metals. But when it comes to soft materials, like rubbers and elastomers, they have nonlinear response in all three deformation modes. So, the stiffness differs in all three modes and a unique solution cannot be calculated using only tensile test data. Hence, we need homogenous uniaxial tension, compression, and simple shear test data to capture the deviatoric behavior of hyperelastic materials. In addition to this, we need volumetric test data to establish the materials bulk response. Volumetric response can be ignored under incompressible material assumption.
The derivatives of the strain energy function with respect to strain invariants are used to establish stress-strain relationships of incompressible materials. The deformation gradient in terms of principal stretches (λ1 , λ2 , λ3) is expressed as:

The principal stretches (λi) are related to principal nominal strains (ϵi) as follows:

The figure below shows the acceptable experimental test data in Abaqus for calibrating the hyperelastic material models and the values of principal stretches in each of the tests. From these principal stretches, the deviatoric strain invariants and nominal strains can be calculated.

Calibration of Abaqus Material Constants Using Experimental Data
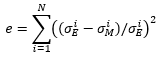
After selecting a strain energy potential function, we need to calculate the material coefficients by solving an optimization problem. Fortunately for us, Abaqus has a really nice tool for this, which is built directly into Abaqus CAE. The optimization is achieved by minimizing the relative cumulative error between experimental data (sE) and model predicted data (sM). This minimizes the relative error rather than absolute error to get a better fit at lower strains.

The relative least-square error function is given as:

Based on the nature of the strain energy potential function and number of material constants, either a linear or nonlinear regression method is used for minimization. For example, for polynomial models, where the strain energy potential is linear in terms of material constants, linear regression is used. For nonlinear models, like Ogden and Van der Waals, nonlinear regression is required to calibrate the material constants. The minimized value of error function is called residual and it is used to determine the goodness of the fit between different material models.
Final Thoughts
Abaqus offers a wide variety of material models to capture the nonlinear elastic behavior of hyperelastic materials rubber, elastomers, and soft tissues. Hopefully this article has provided some basic understanding of different types of strain energy potentials, the test data required to calibrate the material coefficients and the calibration process.
If you need help with FEA or simulation in general, don’t hesitate to give us a call! We’re passionate about what we do, and we would love to learn more about your unique engineering challenges.
